为应对武汉新型冠状病毒疫情,beat365科研处积极组织“药用植物”学科群、“化学”省级重点扶持学科、“细胞关键蛋白修饰与化学干预研究”省级重点创新团队等优势力量开展科技攻关。研究表明,新型冠状病毒的3CL水解酶可能成为抗新型冠状病毒药物的一个研究靶点。近日,在上海科技大学饶子和院士课题组的大力支持下,beat365化学系吴林韬/韩春博士课题组利用新型冠状病毒的3CL水解酶的晶体结构(PDB ID 6LU7),将基于受体结构的药效团模型和虚拟对接方法相结合,对已上市药物进行了抗新型冠状病毒(2019-nCoV)的药物筛选工作。在此向饶子和院士团队表示诚挚的感谢。
公开此研究信息,希望能够尽我们所能对寻找抗新型冠状病毒(2019-nCoV)药物的发现和开发提供帮助,同时也是响应科技部关于在疫情防控任务完成之前不应将精力放在论文发表上的指示精神。后续研究团队将持续深入地开展针对新型冠状病毒的药物筛选、设计与活性测试工作,为临床研究和治疗提供帮助。
表1靶向新型冠状病毒3CL水解酶(PDB ID 6LU7)虚拟筛选结果
序号
| 药物(化合物)名称
| 结构
| CAS NO.
| 原作用或疗效
|
1
| Atazanavir
| 
| 198904-31-3
| HIV-1蛋白酶抑制剂,用于治疗艾滋病毒感染
|
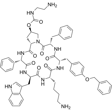
2
| Carbetocin
| 
| 37025-55-1
| 外周催产素受体激动剂,用于控制产后出血
|
3
| Carfilzomib
| 
| 868540-17-4
| 蛋白酶体(proteasome)抑制剂,用于治疗淋巴瘤
|
4
| Cobicistat
| 
| 1004316-88-4
| 细胞色素酶P450 3A (CYP3A)抑制剂,用于治疗艾滋病
|
5
| Darunavir
| 
| 206361-99-1
| HIV蛋白酶抑制剂,用于治疗艾滋病
|
6
| Deferoxamine
| 
| 138-14-7
| 铁螯合剂,用于治疗脑出血
|
7
| Deslanoside
| 
| 17598-65-1
| 一种快速作用的强心苷,用于治疗充血性心力衰竭和因折返机制引起的室上性心律失常
|
8
| Elbasvir
| 
| 1370468-36-2
| 丙型肝炎病毒非结构蛋白5A (HCV NS5A)抑制剂
|
9
| Fidaxomicin
| 
| 873857-62-6
| 一种大环RNA聚合酶抑制剂,能够选择性地根除致病性艰难梭菌
|
10
| Lopinavir
| 
| 192725-17-0
| HIV蛋白酶抑制剂,用于治疗艾滋病
|
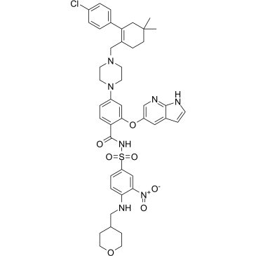
11
| Oritavancin
| 
| 192564-14-0
| 一种新型半合成的糖肽抗生素,可用于治疗革兰氏阳性菌感染
|
12
| Pasireotide
| 
| 396091-73-9
| 环己肽生长激素抑制素类似物,
|
13
| Pentagastrin
| 
| 5534-95-2
| 胆囊收缩素B (CCKB)受体的选择性激动剂,保护胃粘膜免受损伤
|
14
| Plicamycin
| 
| 18378-89-7
| 选择性特Sp1转录因子抑制剂,用于治疗肿瘤
|
15
| Ritonavir
| 
| 155213-67-5
| HIV蛋白酶抑制剂,用于治疗艾滋病
|
16
| Valrubicin
| 
| 56124-62-0
| 抑制TPA和PDBu诱导的PKC 活化,具有抗肿瘤和抗炎作用
|
17
| Venetoclax
| 
| 1257044-40-8
| 一种高效,有选择性和口服活性的Bcl-2抑制剂,用于抗肿瘤治疗
|
18
| Desmopressin
| 
| 16679-58-6
| 一种抗利尿剂,是8-精氨酸加压素(ADH)的合成类似物
|